Misteri Angka 2 Pangkat 0: Kenapa Hasilnya Bukan Nol?
Pernahkah Anda bertanya-tanya, mengapa 2 pangkat 0 (20) hasilnya adalah 1, dan bukan 0? Pertanyaan ini seringkali membingungkan bagi banyak orang yang baru belajar matematika dasar. Padahal, jawaban dari pertanyaan ini sangatlah logis dan dapat dijelaskan dengan berbagai cara.
Sebelum membahas lebih lanjut tentang 20, mari kita pahami dulu apa itu eksponen. Eksponen adalah cara untuk menunjukkan bahwa suatu bilangan (basis) dikalikan dengan dirinya sendiri sebanyak beberapa kali (pangkat). Misalnya, 23 berarti 2 x 2 x 2, yang hasilnya adalah 8.

Pola dalam Eksponen
Perhatikan pola berikut:
- 23 = 8
- 22 = 4
- 21 = 2
Jika kita terus menurunkan pangkatnya, setiap kali kita mengurangi pangkat dengan 1, hasilnya dibagi dengan 2. Mengikuti pola ini, maka:
- 20 = 2 / 2 = 1
Penjelasan Matematis
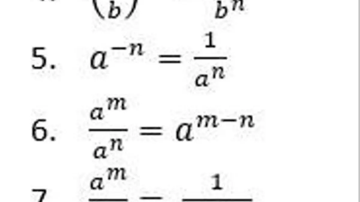
Secara matematis, kita bisa menggunakan sifat-sifat eksponen untuk menjelaskan mengapa 20 = 1. Salah satu sifat eksponen adalah:
xm / xn = x(m-n)
Jika kita misalkan m = n, maka:
xm / xm = x(m-m) = x0
Karena bilangan apapun dibagi dengan dirinya sendiri hasilnya adalah 1, maka:
1 = x0
Dengan demikian, dapat disimpulkan bahwa bilangan apapun (kecuali 0) yang dipangkatkan dengan 0, hasilnya adalah 1.
Kenapa Bukan Nol?
Banyak yang bertanya, mengapa hasilnya bukan nol? Bayangkan jika 20 = 0. Maka, pola yang telah kita lihat sebelumnya akan rusak. Selain itu, sifat-sifat eksponen juga tidak akan berlaku.

Contoh Lain
Konsep ini berlaku untuk semua bilangan (kecuali 0). Contohnya:
- 50 = 1
- 100 = 1
- 1000 = 1
Penting diperhatikan: 00 tidak terdefinisi. Ini adalah kasus khusus yang tidak bisa diselesaikan dengan aturan eksponen biasa.
Penerapan dalam Kehidupan Sehari-hari
Meskipun terlihat abstrak, konsep eksponen dan pangkat nol ini memiliki penerapan dalam berbagai bidang, seperti:
- Ilmu Komputer: Dalam sistem bilangan biner (basis 2), 20 merepresentasikan nilai 1, yang merupakan unit dasar dalam komputasi.
- Fisika: Digunakan dalam perhitungan yang melibatkan pertumbuhan eksponensial atau peluruhan.
- Keuangan: Dalam perhitungan bunga majemuk atau pertumbuhan investasi.

Masih Bingung Kenapa Harus 1?
Memang, konsep ini membutuhkan sedikit pemahaman matematis. Namun, dengan memahami pola dan sifat-sifat eksponen, Anda akan lebih mudah mengerti mengapa 20 = 1. Jika masih bingung, coba ulangi membaca penjelasan di atas dan perhatikan contoh-contoh yang diberikan. Pemahaman yang kuat tentang konsep dasar ini akan sangat membantu Anda dalam mempelajari matematika yang lebih kompleks di masa depan!
What's Your Reaction?
-
0
Like -
0
Dislike -
0
Funny -
0
Angry -
0
Sad -
0
Wow